このウェブサイトでは、JavaScriptの機能を有効に設定していただくことで、最適なコンテンツをご覧いただけます。
ページの本文へ
地域・言語選択
お問い合わせ
検索
検索
日立ハイテク
製品/サービス
お問い合わせ
Menu
関連コンテンツ
パワーモジュール動特性測定装置
LED熱抵抗測定装置
パワーサイクル試験装置
パワーモジュール静特性測定装置
パワーモジュール過渡熱抵抗測定装置
Home
製品サービス・ソリューション
製造関連装置・ソリューション
パワーデバイス検査装置
パワーモジュール動特性測定装置
パワーモジュール動特性測定装置
日本 (日本語)
GLOBAL (ENGLISH)
India (ENGLISH)
Indonesia (ENGLISH)
Malaysia (ENGLISH)
Singapore (ENGLISH)
Thailand (ENGLISH)
中国 (簡体字)
パワーモジュール(IGBT(Insulated Gate Bipolar Transistor)等)の動特性を測定します。
1台でスイッチングタイム、VCE(SUS)、負荷短絡測定を実現します
低インダクタンス切替器を内蔵しております。
お問い合わせ
Share
Tweet
特徴
検査(測定)対象:IGBT、IPM、P-MOS FET、SiC、GaN、Diode等
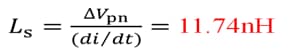
検査装置特徴:超低Ls(ストレーインダクタンス)を実現
IGBT L負荷スイッチング試験回路
スイッチング試験のターンオン波形実測結果に基づきLs算出
関連製品
パワーモジュール静特性測定装置
パワーモジュール過渡熱抵抗測定装置
パワーサイクル試験装置
お問い合わせ
お問い合わせ
一つ上のページに戻る
ページ先頭へ
関連コンテンツ
パワーモジュール動特性測定装置
LED熱抵抗測定装置
パワーサイクル試験装置
パワーモジュール静特性測定装置
パワーモジュール過渡熱抵抗測定装置
日立ハイテク
日立ハイテクトップ
製品ソリューション
製品サービス・ソリューションから探す
業種・業界から探す
社会課題から探す
技術情報
サポート情報
ニュース・イベント
企業情報
国内グループ会社
海外グループ会社
サステナビリティ
採用情報
日立グループTOP
サイトの利用条件
個人情報保護に関して
© Hitachi High-Tech Corporation.
2001
. All rights reserved.