Measurement of visible light and sunlight transmittance of glass
新年新气象,日立推出了新产品UH5700,这是一款台式紫外可见近红外分光光度计,支持液体样品、固体样品透过率、反射率、吸光度的测定,丰富的附件满足多方面测定需求。

图1 UH5700
UH5700使用了新型控制软件UV solutions Plus,操作步骤简单,数据处理功能丰富。

图2 软件测定界面
根据JIS R 3106*1并使用玻璃滤光片支架附件测定了三种玻璃的透射光谱,附件外观如图所示。

图3 玻璃滤光片支架


Dλ・Vλ:根据CIE昼光D65的光谱分布和CIE亮度标准比视感度计算出重价系数
τt:每个波段的透过率(%)

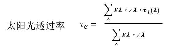
Eλ・⊿λ:表示太阳光标准光谱分布的重价系数
τt:每个波段的透过率(%)
JIS R3106规定了平板玻璃的实验方法,乘以测定得到的透射光谱的重价系数,经过加权平均化,计算出可见光透过率(波长380~780 nm)和太阳光反射率(波长300~2500 nm)*2。

图4 三种玻璃的透射光谱
表1可见光透过率及太阳光透过率的计算结果
从上述表格和光谱图中可以发现,样品A的可见光透过率和太阳光透过率大于样品B、C,表示其透光性更好。
此外,样品B的太阳光透过率比可见光透过率还要低,由此可得出结论:样品B在近红外区的透光性差。
新的台式紫外可见近红外分光光度计配合最新软件,可以方便快捷的计算出不同玻璃的光谱性能,新的一年将给您的研发领域注入新活力。