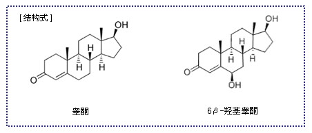
睾酮及其代谢物的同时分析
通常情况下,服用的药物主要在肝脏通过细胞色素P450(CYP)进行代谢。
CYP是一种酶,可将摄入人体的异物转换为易于排出体外的形式。
CYP包含多个分子种类,其中9种(CYP1A2, 2A6, 2B6, 2C8, 2C9, 2C19, 2D6, 2E1, 3A4)主要和药物的代谢有关。尤其是其中的CYP3A4,据说半数以上的市售医药品可受其代谢。
本文介绍以CYP3A4为指标物质的睾酮和睾酮的代谢生成物 6β-羟基睾酮 的分析。
* 本反应乃是作为药物代谢评价中HLM(人肝微粒体)活性评价指标的代谢反应。
睾酮及其代谢物的同时分析
样品
睾酮(人肝微粒体反应液)
睾丸代谢物(6β-羟基睾酮,6β-OH TES)是一种类固醇激素,将其添加至市售人肝微粒体(HLM)。
样品前处理方法
0.2 mg/mL 人肝微粒体
10 mM Kpi (pH 7.4)
200 µM 睾酮
NADPH 生成系统
共计 200 µL
在 37°C 下培养 30分钟

用 2 mL CH2Cl2终止反应

添加浓度为 3 M 的NaCl mL

添加浓度为 20 µL 的皮质酮 20 µM 作为内标物

Vortex vigorously

以 2,000 rpm 的转速离心分离 5分钟

收集有机物层

氮气干燥

用 200 µL 流动相溶解

进样 10 µL 至 HPLC
色谱条件
| 色谱柱 | HITACHI LaChrom C18 (5 µm) (4.6 mmI.D. x 150 mm) HITACHI LaChrom C18 (3 µm) (4.6 mmI.D. x 100 mm) |
|---|---|
| 流动相 | 50% CH3OH/10 mM 磷酸钾缓冲液 (pH 7.4) |
| 流速 | 1.0 mL/min |
| 柱温 | 35°C |
| 检测波长 | UV 240 nm |
| 进样量 | 10 µL |
仪器配置
5110 泵
5210 自动进样器
5310 柱温箱
5420 紫外-可见 检测器
Empower2 色谱工作站
分析结果
* 使用两种不同尺寸色谱柱实验结果。
* 本分析样品由金沢大学医药保健研究领域药学系中岛美纪副教授提供。
本资料所示数据仅为测定例的数据而非可保证装置性能的数据。
要浏览PDF文件,电脑中需装有Adobe Systems Incorporated 公司的Adobe® Reader® 软件。
产品活动信息
相关信息
分析仪器·电子显微镜·原子力显微镜:400-898-1021
* 关注日立科学仪器,了解更多仪器产品信息
生化分析仪:010-65908700
* 关注「日立诊断」微信公众号,了解更多仪器产品信息
