日本大学 生物資源科学部
准教授
大槻 崇 博士(薬学)
はじめに
クロマトグラフィー、特に高速液体クロマトグラフィー(HPLC)を用いた定量分析は、その高い分離能力や多様な検出法との組み合わせにより、医薬品開発、食品安全、環境モニタリング、材料評価など、幅広い分野の発展を支える基盤技術として、不可欠な役割を果たしている1-4)。近年、検出器の高感度化や多様な分離用担体の開発、条件設定の自動化が進展し、複雑なマトリックス中の様々な微量成分の分析が可能となり、各種の研究開発や品質管理は飛躍的に進展した。
HPLCの技術的進歩は目覚ましく、例えばカラム技術においては粒子径の微小化、コアシェル型充填剤の普及、多様な化学修飾基を持つ固定相の開発などにより、分離能と選択性が大幅に向上している5-7)。また、超高速液体クロマトグラフィーの登場により、従来のHPLCと比較して分析時間の短縮と分離能の向上が同時に達成された8)。さらに、二次元液体クロマトグラフィー技術の実用化により、複雑な混合物の分離能力は飛躍的に向上している9)。しかし、HPLCで使用する検出器の応答が測定対象物質の化学構造によって大きく異なることが知られている。例えば、紫外可視分光検出器や多波長検出器では、測定対象物質の分子内の共役系の広がり、発色団の種類と数、置換基の電子供与性・電子吸引性など、発色団の構造によって吸光係数が異なり10)、質量分析検出器ではイオン化効率が測定対象物質ごとに大きく変動する11)。また、蛍光検出器では発色団の蛍光量子収率の差異が検出感度に直接影響する12)。このため、測定対象物質を正確に定量するためには、当該物質と同一で、かつ純度が正確な定量用標品が必要である。しかし、計量学的に妥当な手順によって純度が算出され、その不確かさが明確な認証標準物質(Certified Reference Material; CRM)は非常に少ないのが現状である13, 14)。認証標準物質の開発と供給は、国際的な計量標準機関や国家計量標準機関によって行われているが、その開発プロセスは複雑で時間を要する15)。標準物質の特性値を決定するためには、一次標準測定法による値付けや、国際比較による同等性の確認などが必要となる。このような厳格な手順は、標準物質の信頼性を確保するために不可欠であるものの、同時に開発コストの増加や供給の遅延につながる要因ともなっている16)。特に、複雑な化学構造を持つ天然由来の化合物などでは、CRMの整備が追いついていない17)。このため、HPLCによる定量分析では、試薬メーカーの試薬が定量用標品として一般的に利用される。しかし、これらの試薬の純度は自社規格により保証されているものが多く、計量学的な正確性が担保されているとは言いがたい。また、表示純度に不確かさの情報が欠如していることや表示値と実際の純度に差異が見られることも少なくない。さらに、現在商業的に入手可能であっても、経済的な採算性から試薬メーカーが供給を終了する場合も見受けられる。
希少物質、新規化合物、不安定な物質などでは、商業的に試薬の入手が困難または不可能な場合があり、自ら単離・精製したものや化学合成により調製したものを使用するケースもあるが、これらの調製には多大な労力が必要となる。また、このように調製できたとしても、クロマトグラフィーによる面積百分率法で純度を評価した場合、検出感度の差異や無機塩や残留溶媒といった検出されない不純物の存在により、真の純度を反映しない場合がある。特に、構造類似体を含む天然物の場合、分離が不十分であることで、純度を過大評価するリスクが高い。従って、このような物質を定量用標品として使用することも、結果として、分析値の信頼性を損なう可能性を否定できない。
このように、定量用標品として使用する試薬の入手や純度に関する制約は、正確な定量分析や分析手法の確立において大きなボトルネックとなっている。さらに、実際に分析現場では、数十以上もの測定対象物質を同時に分析する必要がある場合も少なくなく、それぞれに対応する試薬を準備・管理することは、時間的及び経済的負担となる。例えば、食品中の残留農薬分析や環境中の汚染物質モニタリングでは、多数の測定対象物質を一斉分析するケースがあり、すべての試薬を定量用標品として適切に維持管理することは容易ではない17, 18)。特に、試薬の安定性は、定量精度に影響を与える重要な因子であり、光や熱に敏感な化合物、酸化されやすい化合物、加水分解を受けやすい化合物などでは、保存中の分解が定量精度に大きく影響しうる。このような化合物の試薬を使用する際には、適切な保存条件の設定と定期的な保存中の変化に関する評価も必要となり、これらは分析現場では大きな負担である19-21)。
こうした課題を解決する新たな分析手法として、近年、相対モル感度(Relative Molar Sensitivity; RMS)を用いた定量分析法(RMS法)が注目を集めている22)。そこで本稿では、著者が進めている測定対象物質の定量用標品を必要としない分析法の確立や応用に関する検討の一環として、相対モル感度を用いた食品・医薬品関連成分分析に関する研究を紹介する。
RMS法とは
RMS法とは、化学構造が異なる物質間の検出応答の違いを「RMS」を用いて補正することにより、測定対象物質の定量用標品を使用せずとも、別の代替定量用標品から定量が可能な方法である。RMS法ではこの代替定量用標品を基準物質と定義する。
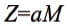
一般に、クロマトグラフィーの検出部の応答は、検出部を通過する物質量(モル数)に比例し、下記の式で示される22, 23):
ここで、Zは検出部の応答、aはモル感度係数、Mは溶液中の物質のモル濃度である。このうちモル感度係数は、測定対象物質の化学構造や物理化学的特性により、物質ごとに異なる値を示すことが知られている。RMS(Vrms)は、これら物質間のモル感度係数の比として定義され、以下の式で表される22):
ここで、Rzは測定対象物質と基準物質の検出部の応答比、Rmは測定対象物質と基準物質のモル濃度比、Zanはモル濃度Manの測定対象物質の検出部の応答、Zrrはモル濃度Mrrの基準物質の検出部の応答、Manは測定対象物質のモル濃度(mol/L)、Mrrは基準物質のモル濃度(mol/L)、aanは測定対象物質のモル感度係数、arrは基準物質のモル感度係数である。
この基準物質に対する測定対象物質のRMSが決定されると、以下の式に基づき、基準物質とRMSから測定対象物質のモル濃度(Man)を算出することができる22):
RMSを算出するためには、純度が明確な測定対象物質を入手する必要はあるものの、一度、基準物質に対する測定対象物質のRMSが明確となれば、RMSを算出した測定条件と同一条件を用いる限り、基準物質とRMSから測定対象物質の継続的な定量が可能である点がRMS法の大きな利点である。この方法は、特に、定量用標品の入手が困難な化合物の分析において強力なツールとなり得る。また、RMSは測定条件が一定であれば安定した値を示すため、日常分析における再現性も確保しやすい。特に、基準物質に正確な純度や不確かさが付与されたCRMを用いることにより、測定対象物質の計量トレーサビリティを確保した定量が可能となる。また、測定対象物質の物理化学的特性などに応じてCRMを1種類または2種類のみ選択して使用すれば良いため、新たなCRMの開発は不要となる場合が多い。さらに、定量値の計量トレーサビリティを確保できる定量NMR(qNMR)13, 24, 25)を活用すれば、CRMを使用せずとも、分析者が使用したい基準物質の純度をqNMRにより妥当な手順で値づけすることで、正確な定量に資する基準物質としての利用も可能となる。また、基準物質に関する利点のみならず、現在使用している装置や測定条件に分析上の問題が生じていなければ、これら既存の装置や測定条件をそのまま利用できるため、新たな装置の導入や測定条件の変更等は不要である。従って、分析法の移行や検証に伴うコストと時間を大幅に削減することが可能となる。これらの特徴から、RMSを用いた分析法は、特に食品分析や環境分析など多成分を測定対象とし、かつそれらの定量用標品の入手が困難な場合の分析において強力なツールと言える。
RMS法を用いたゴマ葉などに含まれるアクテオシド及びペダリイン分析法の確立
著者は、RMS法の特徴に着目し定量用標品の入手が困難または高価な食品成分を対象とした分析法の開発に取り組んでいる。その一例として、アクテオシド及びペダリインを対象とした分析法の確立について紹介する26)。著者の所属研究室では、ゴマ(Sesamum indicum L.)葉に含まれる3種のイリドイドや8種のポリフェノールの化学的特性を解明し、それらの1,1-ジフェニル-2-ピクリルヒドラジル(DPPH)ラジカル消去活性、酸素ラジカル消去活性、in vitroでの抗糖化活性、各成長段階における各化合物の含有量の変化、ゴマ植物におけるアクテオシドの蓄積と細胞内局在などの生物学的活性に関する研究に取り組んできた27-29)。同定されたポリフェノールのうち、アクテオシド及びペダリイン(ペダリチン-6-O-グルコシド)は、ゴマの葉において、それぞれ主要なフェニルエタノールグリコシドとフラボノイドグリコシドである(図1)。特にアクテオシドは、パーキンソン病30)やアルツハイマー病31, 32)等の神経疾患に対する保護効果なども報告されており、この化合物は医薬品シーズとしての可能性が期待されている28)。一般に、アクテオシドの定量には、HPLC33, 34)やLC-MS/MS35)などのクロマトグラフィーが用いられてきた。しかし、アクテオシドの試薬は市販されているものの比較的高価であり、CRMは市販されていない。また、ペダリインの試薬やCRMは市販されていない。そこで、両化合物の信頼性の高い定量分析を可能とする方法として、RMS法の適用が有用と考え、これらの分析法の確立に取り組んだ。

図1 アクテオシド、ペダリイン及びMHBの化学構造
まず、測定対象物質であるアクテオシドは市販試薬を、ペダリインはゴマ葉より単離・精製したものを用い、基準物質には、安価で安定性が高く、RMS法の基準物質としての利用例が多いp-ヒドロキシ安息香酸メチル(MHB)(市販試薬)を選択した。また、RMSの算出にあたっては、図2に示すステップに基づき、基準物質に対する正確なRMSの算出及びその正確性の評価を行った。まず、ステップ1として、測定対象物質の試薬や単離品の純度を明確にするため、qNMRのうち、1H核を利用した1H-qNMRを活用することとした。1H-qNMRは測定対象物質の絶対純度を評価できる方法の一つであり、CRMを内部標準物質として用いることで、測定対象物質の信頼性の高い絶対純度の算出が可能である13, 24, 25)。この手法により各測定対象物質及び基準物質の試薬や単離品の純度を決定した後、ステップ2として、MHBに対するアクテオシド及びペダリインのRMSの算出に関する検討を行った。RMSの算出については、測定対象物質及び基準物質のHPLCにおけるピーク面積比を用いる方法36)や測定対象物質及び基準物質の検量線の傾きの比から求める方法37)があるが、本検討では後者(図3)を採用した。具体的には、
- ① 1H-qNMRで決定した純度に基づき各濃度の検量線用標準溶液の調製
- ② 標準溶液のHPLC分析
- ③ 得られたデータに基づき原点を通る各検量線の作成・直線性の評価(図4)
- ④ 検量線の傾きの比からRMSの算出
の順に実施し、MHBに対するアクテオシド及びペダリインのRMSは、表1に示す値を得た。HPLC条件の詳細は、既報26)をご覧いただきたい

図2 RMSの算出及び正確性評価の流れ

図3 測定対象物質及び基準物質の検量線の傾きの比から求めるRMS

図4 アクテオシド、ペダリイン及びMHBの検量線
表1 MHBに対するアクテオシド及びペダリインのRMS

次に、ステップ3として得られたRMSの正確性を評価するため、3種類の乾燥ゴマ葉粉末と2種類の青汁粉末を試料として、RMS法及び従来の絶対検量線法(測定対象物質の定量用標品を用いる方法)におけるアクテオシド及びペダリインの定量値を比較した。試料のうち乾燥ゴマ葉粉末(検体1)及び青汁粉末(検体1)の代表的なクロマトグラムを図5に示す。その結果、表2に示すように、すべての試料において、両法による定量値に大きな差は認められず、得られたRMSの正確性が実証された。このように、本検討により、MHBを基準物質として用いることで、アクテオシド及びペダリインの計量トレーサビリティを確保した正確な定量分析法を確立できた。本検討では、MHBの純度算出において1H-qNMRを利用したが、MHBのCRMは市販されているため、これを活用することにより、1H-qNMRを行わずとも効率的なアクテオシド及びペダリインの定量が可能となる。また、本検討で確立した分析法は、アクテオシドやペダリイン以外の類縁化合物等の分析にも応用可能であると考えられる。これらの化合物について適切なRMSを決定することにより、ゴマ葉に含まれる多様な機能性成分の網羅的分析が効率的に実施できるようになると期待される。

図5 アクテオシド及びペダリインを含有する食品試料の代表的なクロマトグラム
上段:乾燥ゴマ若葉粉末(検体1)、下段:青汁粉末(検体1)
表2 RMS法及び従来法における食品試料中のアクテオシド(A)及びペダリイン(B)含量の比較
(A)

(B)

RMS法の医薬品関連成分分析への応用
著者は、株式会社日立ハイテクアナリシスとの共同研究において、治療薬物モニタリング(TDM)対象薬物をはじめとする、医薬品関連成分の血中薬物濃度測定へのRMS法の応用に関する検討も進めている38)。薬物療法における薬物の有効性や副作用は、個々の患者間で異なる場合がある39)。同一投与量であっても、体重、年齢、基礎疾患、併用薬など、各患者に特有の要因による血中薬物濃度の違いから、異なる効果が生じ得る。特に、有効かつ安全な濃度域(治療域)が狭い薬物は、TDMを通じて血中薬物濃度を適切に維持管理する必要がある40)。TDMでは、個々の患者に対して効果的かつ安全な薬物療法を提供するために、血中薬物濃度を測定し、投与された薬物の治療効果と副作用を評価する39, 40)。この情報は、各患者のために投与量や投与方法を最適化するために非常に重要である。血中薬物濃度は、主に酵素結合免疫吸着法(ELISA)41, 42)、蛍光偏光免疫測定法(FPIA)43)、及び酵素増幅免疫測定法(EMIT)44)などの免疫学的手法によって測定されることが多い。しかし、これらの方法では、分析対象物質に対する抗体が市販されていない場合、測定が困難である。また、少量の検体ではキットの効率的な使用が難しいという課題もある。一方で、HPLCは、様々な医薬品関連化合物に対して高い分析精度を提供する迅速かつ簡便な技術であり、最適化されたHPLC条件により、生体試料中の医薬品、化学物質、及びそれらの代謝物の分離が可能となる45-51)。また、株式会社日立ハイテクアナリシスは、医療機関における血中薬物濃度測定に特化した高速液体クロマトグラフ(LM1010)を開発し、このHPLCシステムは従来法との比較等によりその有用性が報告されている50-53)。このHPLCシステムは、通常のHPLCと比較し、分析前のコンディショニングから測定、データ解析までが自動化されており、オペレーターの知識や経験に左右されずに安定した測定結果を提供することが可能である。また、測定時間は1検体あたり約7分と迅速であり、カラム洗浄・再平衡化時間を含めても効率的な分析が可能である。この装置により、医療機関では血中薬物濃度を迅速に評価できるようになり、薬物濃度測定におけるHPLCの重要性はさらに増していくものと予想される。ただし、希少または高価な標準物質の使用は、使用者にとって経済的負担となる場合がある。また、不安定な薬物では、標準物質自体が保存中に分解するリスクがあり、標準物質の管理・供給や分析自体の信頼性に問題が生じ得る。このような課題に対しRMS法が適用できれば、複数の高価な標準物質の購入・管理が不要となり、医療機関の経済的負担を大幅に軽減でき、測定可能な分析対象の拡大にも資すると考えられる。つまり、LM1010とRMS法の組み合わせは、医療機関における血中薬物濃度測定の精度、効率性、及び経済性を大幅に向上させ、患者個々に最適化された薬物療法の実現に貢献すると期待される。
著者は、血中薬物濃度測定の信頼性と効率性を向上させるために、カルバマゼピン、フェニトイン、ボリコナゾール、ラモトリギン、メロペネム、ミコフェノール酸、リネゾリド、バンコマイシン、及びカフェイン(図6)を対象とし、RMS法によるこれらの定量分析法の確立に向けて検討を行った。なお、本検討では、CRMの入手が可能であり安定なカルバマゼピン及びカフェインを基準物質として選択した。RMS算出や正確性の評価にあたっては、図2のステップに従って実施することとし、測定対象物質及び基準物質のCRMの認証純度に基づいて調製された各検量線用標準溶液を、既定の測定条件によりLM1010(評価機)で分析した。その後、各検量線を作成し、その傾きの比(測定対象物質/基準物質)から各基準物質に対する測定対象物質のRMSを算出した結果、表3に示す値を得た。また、得られたRMSの正確性評価については、カルバマゼピン、フェニトイン、ボリコナゾール、メロペネム、ミコフェノール酸、リネゾリド、及びバンコマイシンを対象に、1点または2点の既知濃度で個別に添加したコントロール血清中の各薬物濃度を測定し、従来の絶対検量線法で得られた結果との比較により検証した。結果の詳細は既報38)をご覧いただきたいが、これらの検証により、基準物質及びこれに対応するRMSは正確であることが明らかとなり、カルバマゼピンまたはカフェインを基準物質とすることにより、RMS法を用いて測定対象物質の正確な定量が可能であることが示された。
LM1010 HPLCシステムは、救急や集中治療のような医療現場で活用されつつあり、TDMや薬物中毒に対する迅速な診断等において、その有用性がさらに高まるものと予想される。その際に、1つの安定かつ正確な純度が付与された基準物質からあらゆる測定対象物質の測定を可能とするRMS法が適用できれば、測定対象物質ごとの検量線の作成は不要であるため、分析工程の簡略化や総分析時間の短縮化を図りつつ、信頼性の高い定量値に基づく薬物投与量の適切な調整が可能となり、薬物治療の有効性や安全性の更なる向上に貢献すると期待される。

図6 測定対象物質9種の化学構造
表3 各基準物質に対する測定対象成分9種のRMS

まとめ
RMS法は、現在、日本を中心に食品成分や天然化合物54-61)、食品添加物62-64)、医薬品65)の分析など様々な分野で応用が進んでいる。特に日本薬局方では生薬ソヨウのペリルアルデヒドの定量法、食品添加物公定書ではラカンカ抽出物のモグロシドⅤや辛子抽出物やセイヨウワサビ抽出物のイソチオシアン酸アリル、カワラヨモギ抽出物のカピリン、コチニール色素のカルミン酸などの定量法として収載されており、RMSを利用した定量法は公的な分析法としての実用化も進んでいる23)。さらに、2025年に農林水産省により「JAS 0031:2025(食品における相対モル感度を利用した定量法に関する一般要求事項)」が制定されるなど、RMS法の標準化への取り組みも進展している22)。
本稿で示したように、RMS法は「正確さ」と「実用性」を両立させた定量分析法であり、計量トレーサビリティの確保と分析の効率化という、一見相反する要求を同時に満たす革新的な手法である。今後、本方法論をさらに発展させ、より広範な有機化合物の定量への適用についての知見を積み重ねることにより、HPLCによる定量分析の新たな地平を切り開くことが期待される。
参考文献
- 1)
- Stojanovic, J., Krmar, J., Protic, A., Svrkota, B., Đajic, N., & Otasevic, B. (2021). Experimental design in HPLC separation of pharmaceuticals. Arhiv za Farmaciju, 71 (4), 279-301.
- 2)
- Nunez, O., Gallart-Ayala, H., Martins, C. P. B., & Lucci, P. (2015). Fast liquid chromatography-mass spectrometry methods in food and environmental analysis. Imperial College Press.
- 3)
- Aguera, A., Martinez Bueno, M. J., & Fernandez-Alba, A. R. (2013). New trends in the analytical determination of emerging contaminants and their transformation products in environmental waters. Environmental Science and Pollution Research, 20 (6), 3496-3515.
- 4)
- Maksimova, E., Vlakh, E., Sinitsyna, E., & Tennikova, T. (2013). HPLC analysis of synthetic polymers on short monolithic columns. Journal of Separation Science, 36 (23), 3741-3749.
- 5)
- Preti, R. (2016). Core-shell columns in high-performance liquid chromatography: Food analysis applications. International Journal of Analytical Chemistry, Article 3189724.
- 6)
- Wolfender, J.-L. (2009). HPLC in natural product analysis: the detection issue. Planta Medica, 75 (7), 719-734.7)
- 7)
- Talreja, S., & Tiwari, S. (2024). Recent advancements in HPLC method development and validation: Pushing the boundaries of analysis.
- 8)
- Swartz, M. E. (2005). UPLCTM: An Introduction and Review. Journal of Liquid Chromatography & Related Technologies, 28 (7-8), 1253-1263.
- 9)
- Zotou, A. (2012). An overview of recent advances in HPLC instrumentation. Central European Journal of Chemistry, 10 (3), 554-569.
- 10)
- Dong, M. W. (2006). Modern HPLC for practicing scientists. Wiley-Interscience. http://www.gbv.de/dms/bs/toc/503244066.pdf
- 11)
- Korfmacher, W. A. (2005). Principles and applications of LC-MS in new drug discovery. Drug Discovery Today, 10 (20), 1357-1367.
- 12)
- O rwar, O., Fishman, H. A ., Sundahl, M ., B anthia, V., Dadoo, W., & Z are, R. N. (1995). D etermination of Photodestruction Quantum Yields Using Capillary Electro-Phoresis: Application to o-Phthalalde-Hyde/β-Mercaptoethanol-Labeled Amino Acids. Journal of Liquid Chromatography & Related Technologies, 18, 3833-3846.
- 13)
- 杉本直樹, 多田敦子, 末松孝子, 有福和紀.(2010). 定量NMRを用いた有機化合物の絶対定量法の開発と食品分析の信頼性の確保. FFIジャーナル, 215(2), 129-136.
- 14)
- Coskun, S. H., Wise, S. A., & Kuszak, A. J. (2021). The importance of reference materials and method validation for advancing research on the health effects of dietary supplements and other natural products. Frontiers in Nutrition, 8, 786261.
- 15)
- Beauchamp, C. R., Camara, J. E., Carney, J., Choquette, S. J., Cole, K. D., DeRose, P. C., Duewer, D. L., Epstein, M. S., Kline, M. C., Lippa, K. A., Lucon, E., Phinney, K. W., Polakoski, M., Possolo, A., Sharpless, K. E., Sieber, J. R., Toman, B., Winchester, M. R., & Windover, D. (2020). Metrological tools for the reference materials and reference instruments of the NIST Material Measurement Laboratory (NIST Special Publication 260-136). National Institute of Standards and Technology.
- 16)
- Milton, M. J. T., & Quinn, T. J. (2001). Primary methods for the measurement of amount of substance. Metrologia, 38 (4), 289-296.
- 17)
- Betz, J. M., Brown, P. N., & Roman, M. C. (2011). Accuracy, precision, and reliability of chemical measurements in natural products research. Fitoterapia, 82 (1), 44-52.
- 18)
- 藪崎隆. (2007). 食品中の残留農薬分析. ぶんせき, 2007(11), 571-577.
- 19)
- Hillebrand, O., Musallam, S., Scherer, L., Nodler, K., & Licha, T. (2013). The challenge of sample-stabilisation in the era of multiresidue analytical methods: A practical guideline for the stabilisation of 46 organic micropollutants in aqueous samples. Science of the Total Environment, 454-455, 289–298.
- 20)
- Wiest, L., Bulete, A., Giroud, B., Fratta, C., Amic, S., Lambert, O., Pouliquen, H., & Arnaudguilhem, C. (2011). Multi-residue analysis of 80 environmental contaminants in honeys, honeybees and pollens by one extraction procedure followed by liquid and gas chromatography coupled with mass spectrometric detection. Journal of Chromatography A, 1218 (34), 5743-5756.
- 21)
- Grimalt, S., Harbeck, S., Shegunova, P., Seghers, J., Sejeroe-Olsen, B., Emteborg, H., & Dabrio, M. (2015). Development of a new cucumber reference material for pesticide residue analysis: Feasibility study for material processing, homogeneity and stability assessment. Analytical and Bioanalytical Chemistry, 407 (11), 3083-3091.
- 22)
- 農林水産省. (2025). JAS 0031 食品又は農産物における相対モル感度を利用した定量法に関する一般要求事項. 農林水産省.
- 23)
- 杉本直樹. (2024). 定量 NMRの標準化と実用化. Yakugaku Zasshi, 144(4), 353–357.
- 24)
- Weber, M., Hellriegel, C., Rück, A., Sauermoser, R., & Wuthrich, J. (2013). Using high-performance quantitative NMR (HPqNMR®) for certifying traceable and highly accurate purity values of organic reference materials with uncertainties <0.1%. Accreditation and Quality Assurance, 18, 91-98.
- 25)
- 内山奈穂子, 細江潤子, 三浦亨, 杉本直樹, 石附京子, 山田裕子, 岩本芳明, 末松孝子, 小松功典, 丸山剛史, 五十嵐靖, 日向野太郎, 嶋田典基, 合田幸広.(2020). 日本薬局方・定量用試薬の規格化を目的とした定量 NMRを用いた吸湿性化合物の絶対純度の測定(Part 1). Yakugaku Zasshi, 140(8), 1063-1069.
- 26)
- Ohtsuki, T., Matsuoka, K., Fuji, Y., Nishizaki, Y., Masumoto, N., Sugimoto, N., Sato, K., & Matsufuji, H. (2020). Development of an HPLC method with relative molar sensitivity based on 1H-qNMR to determine acteoside and pedaliin in dried sesame leaf powders and processed foods. PloS ONE, 15 (12), e0243175.
- 27)
- Matsufuji, H., Ohmori, J., Goto, S., Chino, M., Wada, E., Uchida, A., Fukahori, K., Yamagata, K., & Sakurai, H. (2011). Radical scavenging activity of polyphenols in young leaves of Sesamum indicum L. Nippon Shokuhin Kagaku Kogaku Kaishi, 58 (3), 88-96.
- 28)
- Fuji, Y., Uchida, A., Fukahori, K., Chino, M., Ohtsuki, T., & Matsufuji, H. (2018). Chemical characterization and biological activity in young sesame leaves (Sesamum indicum L.) and changes in iridoid and polyphenol content at different growth stages. PLoS ONE, 13 (3), e0194449.
- 29)
- Fuji, Y., Ohtsuki, T., & Matsufuji, H. (2018). Accumulation and subcellular localization of acteoside in sesame plants (Sesamum indicum L.). ACS Omega, 3, 17287-7294.
- 30)
- Yuan, J., Ren, J., Wang, Y., He, X., & Zhao, Y. (2016). Acteoside binds to caspase-3 and exerts neuroprotection in the rotenone rat model of Parkinson's disease. PLoS ONE, 11(9), e0162696.
- 31)
- Shiao, Y. J., Su, M. H., Lin, H. C., & Wu, C. R. (2017). Acteoside and isoacteoside protect amyloid-β peptide induced cytotoxicity, cognitive deficit and neurochemical disturbances in vitro and in vivo. International Journal of Molecular Sciences, 18 (4), 895.
- 32)
- Korshavn, K. J., Jang, M., Kwak, Y. J., Kochi, A., Vertuani, S., Bhunia, A., Manfredini, S., Ramamoorthy, A., & Lim, M. H. (2015). Reactivity of metal-free and metal-associated amyloid-β with glycosylated polyphenols and their esterified derivatives. Scientific Reports, 5, 17842.
- 33)
- Wu, Y. T., Tsai, T. R., Lin, L. C., & Tsai, T. H. (2007). Liquid chromatographic method with amperometric detection to determine acteoside in rat blood and brain microdialysates and its application to pharmacokinetic study. Journal of Chromatography B, 853(1-2), 281-286.
- 34)
- Fernandez, L., de Santos, J., Diaz-Lanza, A. M., Perez, E., & Villaescusa, L. (2005). Quantitative determination of verbascoside in Scrophularia scorodonia by high-performance liquid chromatography. Pharmaceutical Biology, 43 (3), 226-229.
- 35)
- Wu, Y. T., Lin, L. C., Sung, J. S., & Tsai, T. H. (2006). Determination of acteoside in Cistanche deserticola and Boschniakia rossica and its pharmacokinetics in freely-moving rats using LC-MS/MS. Journal of chromatography. B, Analytical technologies in the biomedical and life sciences, 844 (1), 89-95.
- 36)
- 西﨑雄三, 佐藤(増本)直子, 中西章仁, 橋爪雄志, タンジャマ ハマドゥ, 山﨑太一, 黒江美穂, 沼田雅彦, 井原俊英, 杉本直樹, 佐藤恭子.(2018). 定量NMRに基づく相対モル感度を利用した加工食品中のヘスペリジンおよびモノグルコシルへスペリジンの定量. 食品衛生学雑誌, 59(1), 1-10.
- 37)
- Masumoto, N., Ishizuki, K., Nishizaki, Y., Ohtsuki, T., Kuroe, M., Yamazaki, T., Numata, M., Matsufuji, H., Sugimoto, N., & Sato, K. (2021). Determination of mogroside V in luohanguo extract for daily quality control operation using relative molar sensitivity to single-reference caffeine. Chemical and Pharmaceutical Bulletin, 69 (1), 18-25.
- 38)
- Ohtsuki, T., Huang, Y., Kamiya, A., Nakayama, Y., Matsushita, M., Morikawa, S., & Matsufuji, H. (2024). Development of an HPLC method using relative molar sensitivity for the measurement of blood concentrations of nine pharmaceutical compounds. Journal of pharmaceutical health care and sciences, 10 (1), 35.
- 39)
- Kang, J. S., & Lee, M. H. (2009). Overview of therapeutic drug monitoring. Korean Journal of Internal Medicine, 24 (1), 1-10.40)
- 40)
- Tamargo, J., Le Heuzey, J. Y., & Mabo, P. (2015). Narrow therapeutic index drugs: A clinical pharmacological consideration to flecainide. European Journal of Clinical Pharmacology, 71 (5), 549–567.
- 41)
- Domagała-Haduch, M., Cedrych, I., Jasiówka, M., Niemiec, M., & Skotnicki, P. (2016). Analysis of adverse events of sunitinib in patients treated for advanced renal cell carcinoma. Archives of medical science : AMS, 12 (2), 360-364.
- 42)
- Kataoka, H., Saita, T., Sogawa, R., Yamamoto, Y., Matsuo, S., Kimura, S., Kimura, S., & Shin, M. (2021). Development of a competitive enzyme-linked immunosorbent assay for the determination of sunitinib unaffected by light-induced isomerization. Biological & pharmaceutical bulletin, 44 (10), 1565-1570.
- 43)
- Schwenzer, K. S., Wang, C. H. J., & Anhalt, J. P. (1983). Automated fluorescence polarization immunoassay for monitoring vancomycin. Therapeutic Drug Monitoring, 5 (3), 341-346.
- 44)
- Philip, A. R., & Alun, D. H. (2013). Therapeutic drug monitoring (TDM). In The Immunoassay Handbook (pp. 945–962).
- 45)
- Baldelli, S., Murgia, S., Merlini, S., Zenoni, S., Perico, N., Remuzzi, G., & Cattaneo, D. (2005). High-performance liquid chromatography with ultraviolet detection for therapeutic drug monitoring of everolimus. Journal of Chromatography B, 816 (1-2), 99-105.
- 46)
- Boudennaia, T. Y., & Napoli, K. L. (2005). Validation of a practical liquid chromatography with ultraviolet detection method for quantification of whole-blood everolimus in a clinical TDM laboratory. Therapeutic Drug Monitoring, 27 (2), 171-177.
- 47)
- Milla, P., Ferrari, F., Muntoni, E., Sartori, M., Ronco, C., & Arpicco, S. (2020). Validation of a simple and economic HPLC-UV method for the simultaneous determination of vancomycin, meropenem, piperacillin and tazobactam in plasma samples. Journal of chromatography. B, Analytical technologies in the biomedical and life sciences, 1148, 122151.
- 48)
- 森川剛, 﨤町美穂, 田村和季, 守岩友紀子, 東海林敦, 岡澤香津子, 柳田顕郎.(2019). 多品目の薬物を対象とする病院内での血中濃度測定のための実用的なHPLC分析法の開発. 分析化学, 68(7), 473-481.
- 49)
- Puszkiel, A., Ple, A., Huillard, O., Noe, G., Thibault, C., Oudard, S., Goldwasser, F., Vidal, M., Alexandre, J., & Blanchet, B. (2017). A simple HPLC-UV method for quantification of enzalutamide and its active metabolite N-desmethyl enzalutamide in patients with metastatic castration-resistant prostate cancer. Journal of Chromatography B, 1058, 102-107.
- 50)
- Wicha, S. G., & Kloft, C. (2016). Simultaneous determination and stability studies of linezolid, meropenem and vancomycin in bacterial growth medium by high-performance liquid chromatography. Journal of chromatography. B, Analytical technologies in the biomedical and life sciences, 1028, 242–248.
- 51)
- 福司弥生, 赤嶺由美子, 松下美由紀, 森川悟, 三浦昌朋.(2023). 新規高速液体クロマトグラフィ分析装置を用いたイマチニブ血中濃度定量の精度評価. Yakugaku Zasshi, 143(11), 963-969.
- 52)
- Oda, K., Uchino, S., Kurogi, K., Horikawa, M., Matsumoto, N., Yonemaru, K., Arakaki, H., Katsume, T., Matsuyama, K., Katanoda, T., Narita, Y., Iwamura, K., Jono, H., & Saito, H. (2021). Clinical evaluation of an authorized medical equipment based on high performance liquid chromatography for measurement of serum voriconazole concentration. Journal of pharmaceutical health care and sciences, 7 (1), 42.
- 53)
- 赤嶺由美子, 松下美由紀, 森川悟, 三浦昌朋. (2023). 腎移植患者におけるミコフェノール酸血中濃度に対する高速液体クロマトグラフLM1010の精度評価. Yakugaku Zasshi, 143(4), 377-383.
- 54)
- 赤嶺由美子, 松下美由紀, 森川悟, 三浦昌朋. (2024). 高速液体クロマトグラフィ分析装置LM1010を用いたフェニトインとカルバマゼピンの同時血中濃度定量と化学発光免疫測定法との比較. 医療薬学, 50(9), 465-472.
- 55)
- Takahashi, M., Nishizaki, Y., Morimoto, K., Sugimoto, N., Sato, K., & Inoue, K. (2018). Design of synthetic single reference standards for the simultaneous determination of sesamin, sesamolin, episesamin, and sesamol by HPLC using relative molar sensitivity. Separation Science Plus, 1 (7), 498-505.
- 56)
- 酒井有希, 増本直子, 西﨑雄三, 大槻崇, 松藤寛, 杉本直樹, 佐藤恭子.(2020). 相対モル感度を用いたsingle-reference HPLC法が定量値に影響を及ぼす要因の検討と機能性表示食品中のルテイン定量への応用. 日本食品化学学会誌, 27(3), 123-134.
- 57)
- 神山和夫, 笹子浩史, 東洋平, 市川博野, 名兒耶文子, 平尾宜司.(2022). 相対モル感度法を利用したウコン中のビサクロンのHPLC定量分析. 食品衛生学雑誌, 63(6), 202-209.
- 58)
- Masumoto, N., Nishizaki, Y., Maruyama, T., Igarashi, Y., Nakajima, K., Yamazaki, T., Kuroe, M., Numata, M., Ihara, T., Sugimoto, N., & Sato, K. (2019). Determination of perillaldehyde in perilla herbs using relative molar sensitivity to singlereference diphenyl sulfone. Journal of natural medicines, 73 (3), 566-576.
- 59)
- 水本俊行, 中野扶佐子, 西﨑雄三, 増本直子, 杉本直樹.(2019). 相対モル感度を利用したヒハツ抽出物中のピペリン類のHPLC定量分析. 食品衛生学雑誌, 60(5), 134-143.
- 60)
- Masada, S., Hosoe, J., Arai, R., Demizu, Y., Hakamatsuka, T., Goda, Y., & Uchiyama, N. (2021). Miroestrol quantification in Pueraria mirifica crude drugs and products by single-reference UPLC/PDA/MS using relative molar sensitivities to kwakhurin. Chemical and Pharmaceutical Bulletin, 69 (6), 573-580.
- 61)
- Iwasaki, D., Kanazawa, M., Kawamoto, F., Araho, D., Murakami, T., Nishizaki, Y., Masumoto, N., & Sugimoto, N. (2023). A new single-reference quantitative method using liquid chromatography with relative molar sensitivity based on 1H-qNMR for khellactone esters from Peucedanum japonicum root extract. Food Chemistry, 427, 136647.
- 62)
- 内山奈穂子, 細江潤子, 石附京子, 新井玲子, 杉本直樹, 鈴木梓, 浅野龍二, 五十嵐靖, 三浦亨, 武藤康弘, 末松孝子, 小松功典, 日向野太郎, 古川茶勲, 嶋田典基, 合田幸広.(2023). ブシモノエステルアルカロイドの相対モル感度(RMS)を用いた日本薬局方定量法の検討. Yakugaku Zasshi, 143(11), 951-962.
- 63)
- Nishizaki, Y., Sato-Masumoto, N., Yokota, A., Mikawa, T., Nakashima, K., Yamazaki, T., Kuroe, M., Numata, M., Ihara, T., Ito, Y., Sugimoto, N., & Sato, K. (2018). HPLC/PDA determination of carminic acid and 4-aminocarminic acid using relative molar sensitivities with respect to caffeine. Food additives & contaminants. Part A, Chemistry, analysis, control, exposure & risk assessment, 35 (5), 838-847.
- 64)
- Takahashi, M., Nishizaki, Y., Sugimoto, N., Sato, K., & Inoue, K. (2018). Single reference quantitative analysis of xanthomonasin A and B in Monascus yellow colorant using high-performance liquid chromatography with relative molar sensitivity based on high-speed countercurrent chromatography. Journal of chromatography. A, 1555, 45-52.
- 65)
- 西﨑雄三, 石附京子, 増本直子, 多田敦子, 杉本直樹, 佐藤恭子.(2020). メチルパラベンに対する相対モル感度を利用したクエルセチンのHPLC 定量. 日本食品化学学会誌 , 27(2), 42-52.
- 66)
- Sakaguchi, Y., Arima, R., Maeda, R., Obayashi, T., Masuda, A., Funakoshi, M., Tsuchiya,Y., Ichikawa, N., & Inoue, K. (2023). Development of a useful single-reference HPLC method for therapeutic drug monitoring of phenytoin and carbamazepine in human plasma. Analytical Sciences, 39, 447-454.
関連製品カテゴリ