Applications of Synthetic Filaments in Separation Science

豊橋技術科学大学 工学研究科
応用化学・生命工学系
教授
齊戸 美弘博士(工学)
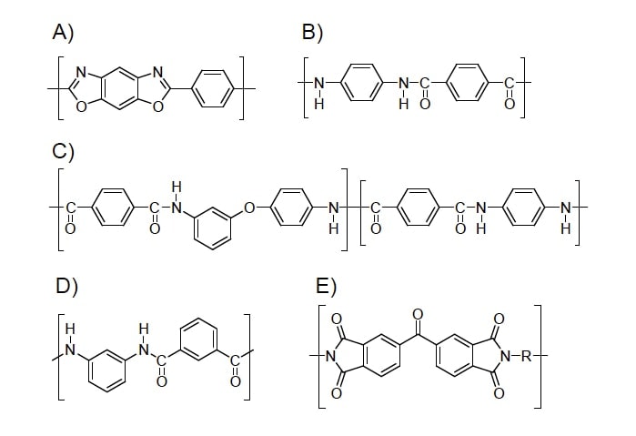
筆者らは、合成細繊維の分離科学における応用として、細繊維を管軸方向と平行に多数充填した細繊維充填型分離カラムならびに試料前処理キャピラリーを開発するとともに、その応用について検討してきた1-3)。この分離カラムは、一般的に広く用いられてきている液体クロマトグラフィー(LC)およびガスクロマトグラフィー(GC)の分離カラムとは異なる内部構造を有しており、これまでに、合成細繊維の有する優れた耐溶媒性・耐薬品性ならびに耐熱性を活かした特徴的な分離例を報告している。また、試料前処理キャピラリーはマイクロカラムLCとオンライン結合させることが可能であり、試料前処理から分離までを小型化することに成功している。本稿では、合成細繊維(図1)を応用した分離・抽出媒体の開発について、それら研究成果の一部を紹介する。

図1 分離・抽出媒体として応用した合成細繊維の例
(A)Zylon、(B)Kevlar、(C)Technola、(D)Nomex、(E)Polyimide (P84)

図2 GC用の細繊維充填キャピラリーカラム4,5)
(A)断面SEM写真、(B)細繊維の拡大SEM写真、(C)キャピラリーカラムの写真。Zylonの細繊維を内径0.53 mm、長さ1 mの溶融シリカキャピラリーに約330本充填
LCカラムには粒子状の充填剤が用いられることがほとんどである。また、GCでは、溶融シリカキャピラリーの内壁に固定相の液膜を形成させた中空キャピラリーカラムが主力であるものの、珪藻土粒子などに固定相を塗布した充填剤をガラス管などに詰めた、いわゆる充填カラムも一定の用途に継続使用されている。一方で、細繊維充填キャピラリーカラムは、直径が10-12マイクロメートル程度の細繊維の束をキャピラリーの管軸方向と平行に充填したものであり、従来から使用されてきたLCおよびGCカラムとは異なる内部構造(図2)を有していることが特徴である4)。
特にGCの充填キャピラリーカラムとして使用した場合、1 m以下の短いカラム長さでも十分に分離が可能であり、試料負荷量も格段に大きい上に、従来のキャピラリーカラムと同様に温度プログラム分離も実行可能である(図3)。つまり、試料負荷量の点では、従来の充填カラムの利点を有し、温度プログラム分離が可能である点は、従来の中空キャピラリーカラムの利点を有していると言うこともできる。充填した細繊維の総表面積は中空キャピラリーカラムに比べて格段に大きく、その表面全体に中空キャピラリーカラムと同様の液相コーティング5,6)を施すこと、また、繊維表面に存在する官能基の誘導体化反応7,8)により、分離選択性を変化させることも可能である。

図3 短い細繊維充填キャピラリーカラムによるアルカンの高速昇温分離例6)
(A)内径0.3 mm、長さ5 cmの金属キャピラリーカラムによるアルカン混合物(C12, C14, C16)の高速分離;昇温レート:a) 45ºC/min、b) 60ºC/min
(B)内径0.3 mm、長さ1 mの液相被覆繊維充填タイプの金属キャピラリーカラムによるPolywax 500の分離;液相:PDMS
合成細繊維の優れた耐溶媒性・耐薬品性を利用した、マイクロLC用の試料前処理デバイスについて紹介する9,10)。細繊維充填キャピラリーカラムと同様に、細繊維の束をPTFEあるいはPEEKなどのチューブに充填した小型の試料前処理カートリッジでは、多数の細繊維が平行に充填されていることから、試料溶液や脱着溶媒の送液の際に必要な圧力も極めて小さい。また、米粒サイズの長さである5 mm程度(図4)でも、十分な抽出性能を発揮することが確認されている。実際に、マイクロカラムLC用のインジェクターのローター部分に、この超小型試料前処理カートリッジを内蔵したマイクロスケールの試料前処理とマイクロカラムLC分離とのオンライン結合システムも開発している11)。

図4 マイクロLC用超小型試料前処理カートリッジ11)Zylonの細繊維を
(A)内径0.25 mm、長さ5 mmのPTFEチューブに約380本充填した際の断面SEM写真、
(B)内径0.50 mm、長さ5 mmのPEEKチューブに約1,500本充填したバルブ内蔵型カートリッジの写真
細繊維束を組紐状に配置すれば、内部に空洞部分を形成させることが可能であり、この空洞部分にステンレスワイヤーなどの細い金属線を内包させることができる(図5)。細繊維の総表面積が大きい一方で、管軸方向への試料溶液の流れに対する抵抗は小さい。細繊維充填キャピラリーカラムと同様に、細繊維の表面をコーティングするなど表面処理を行うことにより、目的とする試料に合わせた抽出選択性を持たせることも可能である。主に、水系試料からの微量有機化合物の抽出を念頭においたマイクロスケールの試料前処理デバイスとして、多くの利点を有している12)。更に、組紐内部の金属線の抵抗加熱が利用できることから、試料抽出後の脱着プロセスも効率的に実行することができる(図6)。
組紐内部に他の繊維状の材料、例えば、炭素繊維束等を内包させることも可能であり、複合的な抽出性能を有する新規な抽出媒体としての応用も考えられる。金属線を内包したタイプの組紐充填キャピラリーは、外部からの電気制御により温度を精密制御できることから、今後、GC-GCなどの二次元クロマトグラフィー分離のインターフェイス、つまりモジュレーターと呼ばれる一次元目から二次元目への分析対象物質の移動を制御するデバイスとしての可能性も有している。

図5 作製した組紐の外観写真12)1束166本のZylon細繊維を、(A)4束使用し内部に外径0.2 mmのステンレス線、(B)8束使用し内部に外径0.5 mmのステンレス線、(C)4束使用し内部に1,000本の炭素繊維を、それぞれ内包させて作製した組紐

図6 内部に通電用の金属線を内包させた組紐を応用した試料前処理デバイス12)(A)組紐形状の試料抽出キャピラリー、(B)抽出キャピラリーを組み込んだ試料前処理デバイスの概略図。数V程度の電圧印加により十分な抵抗加熱効果を確認
合成細繊維、特に極めて高強度の合成細繊維の開発・合成は、現在の高い化学技術水準に支えられており、構造材料としての応用例は多いが、機能材料としての応用は未だ限定的である。また、組紐は、日本の伝統技術の一つであるものの、その工業的応用は高圧配管の補強材などの一部に限定されている。分離科学の分野におけるこれらの基礎技術の一層の応用を期待する。
参考文献
さらに表示