Analysis of Mass Transfer Rate in a Single Porous Microparticle

筑波大学
数理物質系
教授
中谷 清治 (工学博士)
多孔質粒子は大きな比表面積と細孔空間の特異性を利用して、クロマトグラフィーや固相抽出の分離材料、吸着剤、触媒等に使用される。著者らは分離・精製に関わる分析化学の分野で研究を行っており、クロマトグラフィー等で利用されている多孔質粒子系の物質移動に関心を持っている。多孔質粒子/溶液系では、溶質は粒子外溶液相と粒子表面間を物質移動し、粒子表面で細孔に取り込まれ、吸脱着を繰り返しながら粒子内部に拡散する。著者らは、これらを素過程に分離して議論することが重要と考え、μmサイズの球状単一粒子ごとに顕微鏡下で分光測定し解析を行っている。バルク溶液とμmサイズの粒子表面間の物質移動は、拡散だけであっても定常的な球拡散で効率よく起こるため、粒子内プロセスの解析が容易となる。ここでは、単一粒子計測によるシリカゲル系での細孔内拡散について紹介する。
図1に単一微粒子操作– 顕微分光法を示す。この手法を用いると、顕微鏡下で単一マイクロ粒子をマイクロキャピラリー操作法で添加し、単一粒子に分配または単一粒子から放出する過程を、μmサイズに集光したプローブ光で顕微吸収や(共焦点)顕微蛍光測定できる。粒子が大きい場合はセルの底面に粒子は静止するが、粒子が小さくブラウン運動する場合は、レーザー捕捉法を組み合わせて固定する。添加直後を時間ゼロとし、吸光度または蛍光強度の時間変化から粒子内拡散過程を速度論的に解析する。

図1 単一微粒子操作–顕微分光法
シリカゲルはシラノール基の解離で負電荷の吸着サイトを有し、カチオン性溶質が吸着する。細孔直径6.5 nm の単一シリカゲル粒子をローダミン6G 水溶液に添加し、共焦点顕微蛍光測定した結果を図2に示す。粒子はセルの底面に存在するので、中心軸の深さ方向の蛍光プロファイルでは、粒子の上面(深さ30 μm が上面、–30 μm が下面)から効率よく中心に拡散する様子が観測されている。粒子内拡散係数Do は、粒子外(底面での拡散抑制も考慮)と粒子内の拡散をシミュレーションして求める1)。多孔質媒体中における拡散は、細孔壁と細孔内溶液間での速い吸脱着と、細孔内溶液中の拡散(ポア拡散)、細孔壁に沿った拡散(表面拡散)を考慮したモデルで議論される(図3)。このモデルではDo = DwH/{τw(1+K)}+ Ds/τs(Dw:水相中の拡散係数、H:細孔障壁のパラメータ、K:分配係数(K >> 1)、τ:屈曲率)となり、Do を1/(1+K)に対してプロットすると、直線の傾きからポア拡散に関係するDwH/τw が、切片から表面拡散に関係するDs /τs が得られる。Do のK 依存性を測定し、ローダミン6G のような低分子では表面拡散の寄与はほとんどなく、ポア拡散に支配されることを明らかにしている。また、シリカゲル細孔壁をスチレン-ジビニルベンゼン共重合体で被覆し、抽出剤を含浸させた粒子は、高レベル放射性廃液から金属イオンを分離する抽出クロマトグラフィーの担体となる。細孔径が数100 nm、粒径〜30 μm の粒子で、Eu(III)、Sm(III)イオン等との錯生成反応が速い抽出剤では、抽出過程はポア拡散律速になることがわかっている2)。

図2 単一シリカゲル粒子中におけるローダミン6Gの共焦点顕微蛍光測定。実線は拡散によるシミュレーション結果を示す(Do = 6 x 10-9 cm2/s)。

図3 多孔質シリカゲル中における拡散過程
シリカゲル系において、低分子ではなく高分子を用いると細孔内拡散が大きく変化する。ミオグロビンのヘムを亜鉛ポルフィリンに置換した蛍光性球状高分子(直径〜4.4 nm)を細孔径15 nm のシリカゲルに分配する速度を測定すると、ポア拡散の寄与が小さく、表面拡散に支配されることを確認している3)。
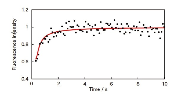
逆相クロマトグラフィーの担体であるODSシリカゲルの単一粒子を溶液中に添加して分配過程を測定すると、粒子の全蛍光強度は時間と共に変化するが、粒子内濃度勾配が観測されない。これは細孔内拡散が非常に速く、この測定方法では粒子外拡散が律速段階になることを示している。このような系では、細孔内拡散を観測するため、分配平衡にある粒子の中心に高強度レーザー光を照射し、光退色させることで分配非平衡状態とし、この緩和過程を共焦点顕微蛍光測定する。粒子内濃度分布を考慮してシミュレーションし、ODSシリカゲル中のクマリン101等の細孔内拡散係数を求め(図4)、細孔壁のODS相を移動する表面拡散の寄与が大きいことを明らかにしている4)。
今後、多孔質粒子の細孔内物質移動と、分子/細孔径比、分子形状、細孔壁からの電気二重層等との関係を調べ、クロマトグラフィーの分離機構解明等につなげていきたい。

図4 単一ODSシリカゲル粒子(34 μm)中におけるクマリン101の光退色共焦点顕微蛍光回復測定。実線は拡散によるシミュレーション結果を示す(Do = 2 x 10-8 cm2/s)。
参考文献