表面電位顕微鏡(KFM:Kelvin Force Microscope)
原理:励振電圧による静電気力成分の振幅がゼロとなるようにフィードバックした電圧で表面電位を計測、画像化します。
【KFMの特徴】
- 周波数 ωr で導電性カンチレバーを強制振動させ、同時に探針試料間に周波数 ω の交流電圧 VAC とある電流電圧 Voff を印加します。
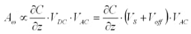
- カンチレバーからの出力信号は大部分周波数 ωr 成分で、ごくわずかに周波数ωの成分を含みます。ロックインアンプで周波数 ω の振動成分 Aωを取り出します。
- 探針試料間の静電気力を最小にすれば、 Aω=0 とすることができます。この状態は、探針試料間の直流の電位差 VDC≡Vs+Voffをゼロとすることで実現できます。
- 常に Aω=0 となるように Voffをフィードバック制御すれば、探針直下の試料表面の電位 Vsは Vs = -Voffで求められます。
- このような表面電位の決定法は一般にはケルビン法と呼ばれています。KFMはケルビン法をSPMに応用した測定モードです。
探針と試料に交流電界がある場合、直流の電位差がゼロでも静電気力が働きます。探針-試料間に働く静電気力 Fc は、直流電圧 VDC と交流電圧 VAC 、探針試料間の静電容量を C として、一般に次のようになります。
上式から VDC ≡Vs+Voff=0 の場合でも、交流電圧分の作用で、探針-試料間に働く静電気力 Fc はゼロにはなりません。
この静電気力成分は探針と試料に常に作用するため、KFM測定における探針と試料は通常 非接触の状態に制御されます。
表面電位顕微鏡(KFM:Kelvin Force Microscope)の適用例
試料:チタン薄膜上のプローブ陽極酸化パターン
形状像
KFM像
自然酸化膜と強制酸化膜の電位差が 約15mV と計測されました。
<参考資料>
関連情報
走査型プローブ顕微鏡(SPM/AFM)に関する測定手法、測定例の一部を、会員制情報検索サイト「S.I. navi」でご提供しています。
リストの一部はこちらからご覧いただけます。
「S.I.navi」は、日立ハイテク取扱分析装置に関する会員制サイトです。
お客さまの知りたいこと、日々の業務に役立つ情報を「S.I.navi」がサポートします。
日立電子顕微鏡をご使用されているお客さまは、「S.I.navi」上で製品情報をご登録いただくと、日立電子顕微鏡ユーザー限定サイト「Semevolution(セメボリューション)」にて、さらに多くの関連情報をご覧いただけます。
