
熊本大学病院
薬剤部・感染制御部
尾田 一貴
Therapeutic drug monitoring(TDM)は、主に血中濃度を指標として薬物治療を個別に最適化していく試みを示す。古典的な概念としては、投与量が少しでも多すぎれば副作用が出るといった治療濃度域の狭い薬物に対して、有害事象を防ぐ目的で実施されてきている。本邦では免疫抑制薬であるタクロリムスやシクロスポリン、抗てんかん薬、抗不整脈薬に並んで、抗菌薬のTDM が実践されている(例:アミノグリコシド系薬、グリコペプチド系薬、抗真菌薬であるボリコナゾール)。従来の概念通り、治療域の狭い抗菌薬について実施されており、特に代表的な薬剤耐性菌(antimicrobial resistance:AMR)であるメチシリン耐性黄色ブドウ球菌(methicillin resistant-Staphylococcus aureus:MRSA)の第一選択薬であるバンコマイシンは、TDM のエビデンスも豊富であり、TDM の実施が活発である。さらに近年、TDM の概念は従来のものから発展してきていると感じる。
International Association of Therapeutic Drug Monitoring and Toxicology(IATDMCT)が提唱するTDM の定義では、―TDM is a multi-disciplinary clinical specialty aimed at improving patient care by individually adjusting the dose of drugs for which clinical experience or clinical trials have shown it improved outcome in the general or special populations―とある1)。日本TDM 学会では、―治療効果や副作用に関する様々な因子をモニタリングしながらそれぞれの患者に個別化した薬物投与を行うこと―とある2)。つまり、TDM は必ずしも患者個人における副作用や有害事象の回避のみを目的としたものではなく、必ずしも治療域の狭い薬物に対して実施されるものではなくなったことを認知しなければならない。本稿では、従来TDM が実践されてこなかったβラクタム系薬を中心に、救急・集中治療の感染症治療における抗菌薬TDM の展望について述べる。
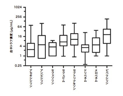
βラクタム系薬は、副作用が少なく殺菌性があることから、広く普及してきた抗菌薬である。近年、感染症患者の救命率を向上させる目的からβラクタム系薬のTDM に関する研究がすすめられると、Roberts らの国際多施設共同研究(DALI study)により、特に救急・集中治療の患者のうち16% は、治療に必要な抗菌薬濃度に達していなかったことが明らかとなり、さらなる増量の可能性も考慮された3)。同時に、抗菌薬の血中濃度は非常にばらついている知見も明らかとなった(図1)3)。この結果に基づいて、抗菌薬の濃度を確実に治療域で推移させるストラテジーとして固定用量を増量するという試みを実践するならば、最も濃度の低いケースに備えて大量に投与することを意味している。その場合、最も濃度の高いケースでは、必要な濃度の実に60倍以上の高濃度に達することが図1から読み取れる。いくらβラクタム系薬の安全性が高いとはいえ、あまりにも高い濃度は、中枢神経系副作用リスク増加の懸念がある。Beumier らはβラクタム系薬の中枢神経系副作用について、特にトラフ濃度/ 最小発育阻止濃度(minimum inhibitory concentration:MIC)として4を超えることをリスクとして報告した4)。特にセフェピム、セフトリアキソンによる脳症の報告が散見されている5-7)。ゆえに、救急・集中治療患者の感染症治療には、救命のために大量のβラクタム系薬を必要とする患者が一定数存在する一方で、その安全な増量の方法は全く明らかではない、その解決策として、TDM が脚光を浴びていると言える。

図1 救急・集中治療患者におけるβラクタム系薬の血中トラフ濃度のばらつき
縦軸は対数軸であり、トラフ値のばらつきが非常に大きいことが視覚的に理解できる。
Source:Roberts JA, et al. Clin Infect Dis. 2014 Apr;58(8):1072-83.
βラクタム系薬のTDM は、欧州において活発である。フランスのthe French Society of Pharmacology and Therapeutics(フランス薬理学&治療学会)とthe French Society of Anaesthesia and Intensive Care Medicine(フランス麻酔学会)は、世界に先立ち、2019年にβラクタム系薬のTDM に関するガイドライン、提言を公開した8)。βラクタム系薬投与開始後24-48時間程度で、トラフ値採血を基本として実践することが紹介されている。そして実測濃度に基づいた投与設計戦略について、フローチャート形式で紹介されている(図2)。目標濃度はMIC の4倍以上8倍未満が示されているが、MIC の4倍を超える濃度の場合は、前述の通り中枢神経系副作用リスクも意識しておく必要があろう(この基準であれば、MIC が低い場合、中枢神経系副作用リスクは小さいものと思われる)。欧州におけるβラクタム系薬TDM の実際の普及度合いも報告されており、2016年の報告によると、フランスの集中治療部においてはセフタジジムで30%、ピペラシリンで21%、メロペネムで19% のTDM 実施率であった9)。ただし2022年には、持続腎代替療法施行患者におけるβラクタム系薬の実施率は、大学病院で45%、その他病院で41%と、着実に普及が進んでいるようである10)。さらにはオランダやドイツでの実施率が報告されてきており、メロペネムで15-30% 程度の実施率であった11,12)。
以上をまとめると、救命のために抗菌薬の濃度を確実に治療域で推移させるストラテジーとしてTDM が提唱された。欧州におけるβラクタム系薬のTDM は、もはや黎明期を超え、確実に普及のフェーズに移ったと言えよう。

図2 βラクタム系薬のTDMによる実測血中濃度に基づいた投与量調整フローチャート
目標濃度としてMICの4倍以上8倍未満が示されているが、神経毒性のリスクも意識しておく必要がある。
Source:Guilhaumou R, et al. Crit Care. 2019 Mar 29;23(1):104.
βラクタム系薬のTDM の治療効果を向上させる盲検化比較試験(randomized controlled trial)結果は得られていない。オランダのEwoldtらは388名の集中治療患者を対象にTDM のTDM 実施/TDM 非実施の2群に分けたRCT を実施したが、ICU 滞在期間の改善効果は得られなかった(シプロフロキサシンも含んでいる)13)。ただし、結果として非TDM 群(論文の中ではstandard dosing 群)における血中濃度も、TDM 群(論文の中ではMIPD 群)と同程度で推移していた。彼らは結論として、重症患者におけるTDM は推奨する根拠がないとしている。とはいうものの、集中治療患者全体を対象とした本研究の性質からは、より具体的には、βラクタム系薬のTDM は集中治療患者全体に対して適応することは推奨できず、より限定した患者においてはさらなる評価が必要であると読み替えるのが妥当であろう。
観察研究では、MIC を超えている遊離型血中濃度の時間割合である%fT>MICとして、50%、100% などによる治療効果への影響が報告されている3, 14)。
以上をまとめると、βラクタム系薬のTDM は、%fT>MIC の目標値には必ずしもコンセンサスが得られていないが、その程度が治療効果に影響を与えていることは確からしい。さらにTDM による治療効果への影響を明らかにするためには、TDMを実践する患者や感染症、場面を限定した、活発な臨床試験の実施が必要であると言える。ここで、筆者が考える重要なポイントは、欧州ではβラクタム系薬のTDM がそれなりに普及しているためにこのようなRCT が計画できる点である。一方、本邦ではβラクタム系薬のTDM は全く普及していないことから、このRCT を計画することさえ極めて困難である。従って、本邦におけるβラクタム系薬のTDM は、実践の点でも臨床研究の点でも完全に欧州に後れを取っていると言え、その解決が必要である。
βラクタム系薬のTDM を普及させるためには、兎にも角にも血中濃度測定システムが必要である。日本病院薬剤師会の実施した令和 4 年度病院薬剤部門の現状調査集計結果によると、薬物濃度測定業務は調査施設全体の12.5% で薬剤部、59.1% で検査部において実施されており15)、TDM そのものに対する理解はそれなりに普及しているものと思われる。一方で、βラクタム系薬は保険算定の非対象薬物であるために、その測定機器の普及は限りなく0%に近いと考えられる。筆者は、(株)日立ハイテクサイエンスの進めている薬物濃度測定機器「LM1010」の開発に共同研究で関与しており、これまでにカルバマゼピン16)、フェニトイン16)、ラモトリギン、ボリコナゾール17)、メロペネム、バンコマイシンなどの臨床評価を行ってきた(図3)。このように、LM1010は様々な薬物の濃度測定が可能な中で、メロペネムをはじめとしてβラクタム系薬の濃度測定が可能であり、さらに対象薬を拡大してきている。

図3 メロペネムの濃度測定評価
0.5、5、50、100 μg/mLの設定濃度において、n=3で評価した。
左図:実線はy=x、点線は回帰直線を示す。
右図:Bland-Altman解析にて系統誤差を示している。低濃度側での測定濃度が設定濃度より正に偏っている傾向が認められたものの、15%以内にとどまっており、確度に問題はないと考えられる。
そのような中、実は2022年、TDM を必要とする代表的な抗菌薬であるバンコマイシンについて、投与開始2日目の血中濃度- 時間曲線下面積(area under the concentration time curve:AUC)を指標とすることが、抗菌薬TDM 臨床実践ガイドライン2022にて提唱された18)。この提唱は、投与2日目という迅速性を求めているのみならず、AUC を指標とするといった薬学的専門性にかかわるものになっていることから、薬剤部が積極的にTDMに関与することが推奨されていると言える。従って、本ガイドラインを機に、バンコマイシンの血中濃度測定について、外注から院内に移すといった取り組みを耳にする機会が増えた。この流れによりLM1010導入につながれば、合わせてβラクタム系薬の血中濃度測定システムを同時に提供することも可能となる。
血中濃度が大きくばらつくβラクタム系薬のTDM の意義は、前述の救命のための効率的な投与量調整設定にあることは間違いない。その効率的な部分には、確実に治療効果を引き出しつつも有害事象リスクを軽減するのみならず、特殊な投与設計、コスト削減にも貢献することが可能である。実際に筆者は、実臨床における様々なβラクタム系薬のTDM を実践しており、有用性を感じた症例に関して学術論文や学会発表を通じて、公表を進めている。
感染症治療において緑膿菌はよく原因菌となりうるが、しばしば耐性緑膿菌が出現し、治療に難渋する。耐性緑膿菌の治療に使用される薬物の中には毒性の強いもの(例:コリスチン)もあり、可能であれば安全性の高いβラクタム系薬で治療したいところである。筆者は、βラクタム系薬の中でもカルバペネム系薬であるドリペネムについて、MIC が8 μg/mL であり耐性と判定された緑膿菌に対して、コリスチンの使用を避ける目的でドリペネムの血中濃度をMIC の4倍である32 μg/mL以上を維持することを目標にTDM を駆使し、治癒した事例を症例報告した(図4)19)。

図4 耐性緑膿菌肺炎に対するドリペネムの血中濃度評価に基づく治癒
●はドリペネムの血清中遊離体濃度を示す。
CRRT:continuous renal replacement therapy(持続血液浄化療法)
Source:Oda K, et al. J Pharm Health Care Sci. 2019;5:15.
セフェピムは過剰投与により脳症が知られているが5)、明確に回避するためにはTDM が有益である。筆者は、失語を主症状としたセフェピム中枢神経障害が疑われた患者に対してTDM を実施すると、71.3 μg/mLという高い濃度であった事例を経験した。通常であれば他薬への変更を考慮する場面であるが、他薬がすでに耐性化してしまった緑膿菌であったことから、セフェピムの薬物動態解析に基づき定量的に減量を実践したところ、治癒に導いた事例を報告した(図5)20)。

図5 耐性緑膿菌肺炎に対するセフェピムによる治療継続
失語を主症状とした中枢神経系障害に対して、TDMを駆使してセフェピムを定量的に減量し、治癒に導いた。
Source:Oda K, et al. J Infect Chemother. 2020;26(5):498–501.
縦隔炎は心臓血管外科手術後の重篤な合併症である。さらに縦隔への抗菌薬移行性に関する情報が乏しいことから、抗菌薬の選択は慎重に慎重を重ねなければならない。今回、extended spectrum βラクタマーゼ(ESBL)産生菌による縦隔炎が判明した。ESBL 産生菌に対する第一選択薬はカルバペネム系薬であるために、ほとんどの事例ではカルバペネム系薬に頼らざるを得ないであろう。しかし筆者は、その尿路感染症など軽症例では有効性が知られているフロモキセフ、セフメタゾールを持続投与とし、かつ縦隔内遊離体濃度や血中遊離体濃度を測定することにより、カルバペネム系薬の温存に貢献した。結果として、MIC ≦4 μg/mLという目標濃度に対し、フロモキセフ縦隔内遊離体濃度:10.6 μg/mL、セフメタゾール縦隔内遊離体濃度:7.0 μg/mL であることを確認し、治癒に導いた。
再び緑膿菌肺炎の症例である。感受性のある抗菌薬としてセフタジジムを最大量使用していたものの、3週間以上の血液培養陽性が遷延した患者を経験した。万が一薬物濃度が足りていないのであれば、カルバペネム系薬など他薬への変更が考慮される場面であるために、血中濃度を測定した。その結果、緑膿菌はMIC 8 μg/mL であり感受性を保っている中で、トラフ値56 μg/mL、ピーク値97.7 μg/mLと極めて高い濃度であることが判明した。このような濃度は全くの無駄であることを指摘し、半量へ減量介入を実施し、その後血液培養は陰性化するに至った。不要な抗菌薬投与を回避することで、その分のコスト削減に貢献した。
TDM はβラクタム系薬の投与設計に有益であることは間違いない。これまでの臨床実践の経験からは、フロモキセフやセフメタゾールの使用、セフェピムの継続、セフタジジムの減量の例のように、特に治療効果を確認することで不要な他の広域抗菌薬の使用を回避することに威力を発揮している印象である。それはすなわち、AMR 問題解決のための重要な課題である、広域抗菌薬使用量削減に大きく貢献することになる。現時点で、βラクタム系薬のTDM は保険算定が不可能であることから、ボランティアとしてβラクタム系薬のTDM を実施することに抵抗がある施設がほとんどであると思われる。しかし広域抗菌薬は一般的に高価であることからその使用を回避できれば、さらには上記セフタジジムの例のように不要に高用量を回避できれば、いずれも病院のコスト削減に貢献することになる。筆者の今後の役割は、βラクタム系薬のTDMは、実施することが各々の医療施設の収益増加につながりうることを明らかにすることと考える。
参考文献
登録記事数 203件
まだまだあります。